A MAPS projektről
A tanulmány a Models, Assessment, and Policies for Sustainability (MAPS) oldalán jelent meg. A projektet az Európai Unió finanszírozza és 10 egyetem a tagja, köztük a Budapesti Corvinus Egyetem. A program célja, hogy feltárja azokat a gazdasági növekedés utáni szakpolitikai útvonalakat, amelyek biztosítják az emberi jólétet a Föld ökológiai határain belül. A kutatók egy olyan holisztikus szimulációs modellt fejlesztettek, amely környezeti, társadalmi és gazdasági mutatókat integrálva segíti a döntéshozókat a fenntarthatóbb és igazságosabb jövő kialakításában.
Növekedés utáni gazdaság (post-growth economy)
A GDP-növekedés jelenleg szinte minden országban gazdasági és politikai célként van megfogalmazva, miközben Európában az látszik, hogy ez egyre kevésbé járul hozzá az életminőség javulásához. A MAPS projekt, valamint a tanulmány is a gazdasági növekedés utáni gondolkodásmódra helyezi a hangsúlyt, amely olyan megközelítéseket tartalmaz, mint a nemnövekedés (degrowth), a fánkgazdaságtan, a jóléti gazdaság, vagy az egyensúlyi gazdaság. Az ilyen elméletekben a szakpolitikai intézkedések közvetlenül az életszínvonal javítására törekednek a véges természeti erőforrások tiszteletben tartásával, ezzel ötvözve az emberi jólétet és a fenntarthatóságot.

Ahhoz, hogy a növekedés utáni forgatókönyveket vizsgálni lehessen elengedhetetlen az a fajta előretekintő gondolkodás, amely megpróbál kitörni a jelenleg is domináns paradigmákból, mint a GDP-növekedés, és képes alternatív jövőképeket azonosítani, amelyek feltárják a veszélyes folyamatokat és egyben az új lehetőségeket is. Emiatt a tanulmányban egy integrált előrejelzési folyamatot alkalmaztak, ami a horizont szkennelésre, a forgatókönyv-építésre és az e-Delphi folyamatra épült.
Horizont szkennelés
Az első körben a MAPS kutatói egy online kérdőíves ötletgyűjtésen vettek részt, amely során mindenki három, a kutatási háttere szempontjából releváns és fontos jövőbeli kérdést nevezett meg és magyarázta el azok társadalmi, technológiai, ökológiai, gazdasági, politikai, jogi, etikai és demográfiai dimenzióit. Az így összegyűlt kérdésekből állításokat fogalmaztak meg, majd ebből a 60 leginnovatívabbat egy workshop keretében közösen elemezték és kategorizálták trendként, megatrendként, „wild card”-ként (jokerként), gyenge jelként vagy hype-ként.
- trend: általános tendencia vagy irányzat, amely a jelenre is kiterjedő, európai fókuszú
- megatrend: széles körű és drámai hatással bíró, hosszú távú átalakulási folyamat
- joker: előre nem látható, alacsony valószínűséggel, de nagy hatással járó esemény
- gyenge jel: jelenleg még kis változás korai jele
- hype: valamit izgalmasabbnak vagy fontosabbnak láttatni, mint amilyen valójában
Az állításokból 19,7% trend és 26,2% megatrend volt, míg a nagyobb részt a további három kategória tette ki (joker 8,2%, gyenge jel 27,9%, hype 18%). Ez azt jelenti, hogy a jövő egyik felét nagyfokú bizonytalanság befolyásolja. A 60 kijelentést a hatásuk alapján -3 és +3 közötti skálán értékelték és ezek közül 31 negatív besorolást kapott.
Forgatókönyv-készítés
Annak érdekében, hogy a kutatók a meglévő állításokból különböző jövőképet alkothassanak 16 kijelentést választottak ki, amelyeket egy online workshop keretében használtak a szcenáriótervezés tengelyeinek azonosítására. A 60-ból az a 16 került kiválasztásra, amelyek jelentős hatással bírtak (+/-2-es vagy +/-3-as érték) és jokerként vagy gyenge jelként kerültek besorolásra. Ezek a kis valószínűséggel bekövetkező, de nagy hatással bíró, nehezen megjósolható események a felállított jövőképek mozgatórugóiként tekinthetőek.
A 16 állítás STEEPLED dimenziókra bontva:
Társadalmi dimenzió
– A társadalmi felkelések felszámolják a kapitalizmust. – Joker +3
– A nemnövekedés (vagy ökoszocializmus) ugyan felülkerekedik a növekedésalapú kapitalizmuson, de mivel ez a megközelítés nem részvételi jellegű és a közvélemény támogatása nélkül valósul meg, a társadalmi nyugtalanság növekszik, a közvélemény támogatása pedig csökken. – Gyenge jel -2
– Mivel az emberek többnyire az AI-ra támaszkodnak, már nem tartják hasznosnak vagy előnyösnek az oktatást. – Joker +2
– A divatipar szennyezi a környezetet, ezért a luxus/gyors divatruházat vásárlása kulturálisan nemkívánatos, sőt megvetett cselekedetté válik. – Gyenge jel +2
Technológiai dimenzió
– A fejlett intelligens hálózati technológiák forradalmasítják az energia elosztásának és fogyasztásának módját, valós időben optimalizálják a kínálatot és a keresletet, lehetővé téve a decentralizált megújuló energiaforrások hatékonyabb integrálását a hálózatba. – Gyenge jel +2
– Mivel a divatipar szennyező, egy farmernadrág életciklusának nyomon követése lehetővé válik. – Gyenge jel +2
Ökológiai dimenzió
– A földhasználat további átalakítása (infrastruktúra, lakásépítés, mezőgazdaság) az ökoszisztéma pusztulását és fragmentálódását okozza. – Trend -3
Gazdasági dimenzió
– Mivel a Z és az azt követő generációk nem fogadják el a „munkaalapú társadalom” narratíváját, a munka és a magánélet egyensúlya központi kérdéssé válik a vállalatoknál. – Gyenge jel +2
– Mivel a divatipar szennyező, a reklámokat betiltják, és a használtcikk-kereskedelem területén gyorsan terjednek az új üzleti modellek. – Joker +2
Politikai dimenzió
– A méltányos energiaellátás etikai követelménye és az abból következő jogi intézkedések révén a közösségek ragaszkodni fognak ahhoz, hogy a szakpolitikák figyelembe vegyék ezt a szempontot, és az energiaellátást mindenki számára elérhetővé tegyék, különösen a marginalizált csoportokat. – Gyenge jel +2
Jogi dimenzió
– A véges anyagi erőforrások kimerülése miatt az egyének túlzott felhalmozása tiltott, de a nemzetek jogosultak arra, hogy egy bizonyos szint felett az egyénektől elvegyék az árukat és erőforrásokat, és azokat a társadalom javára fordítsák. – Gyenge jel +3
– A környezeti okokból kényszerű migrációs válság és a lakható területek csökkenése miatt mindenki ugyanolyan jogokkal fog rendelkezni az élethez. – Gyenge jel +3
Etikai dimenzió
– Az energiaipari gyakorlatokban az őslakosok és a helyi lakosság tudásának nagyobb tiszteletben tartását elősegítő etikai megfontolások előmozdítják az etikus energiaipari megoldásokat, amelyek összhangban vannak a kulturális értékekkel és a közösség igényeivel, valamint az őslakos közösségek meghallgatásra kerülnek és beleszólásuk van a földjeiket és erőforrásaikat érintő energiaipari projektekbe. A szuverenitás tiszteletben tartása elősegíti a méltányosságot és elismeri az őslakos népek környezetükkel való egyedülálló kapcsolatát. – Gyenge jel +2
– A (környezeti okokból kényszerű migrációs válság és) a lakható területek csökkenése miatt az emberi élet elsőbbséget élvez más fajok életével szemben. – Trend -3
Demográfiai dimenzió
– A zöld és egészséges városi életmód elősegíti a kulturális sokszínűség és a nyitott gondolkodás elfogadását. – Gyenge jel +2
– A digitalizáció és a mesterséges intelligencia fejlődése miatt az emberiség a transzhumanizmus felé fejlődik. – Trend -2
A felsorolt állításokból egy online workshop alatt kétdimenziós forgatókönyv-készítési módszerrel 8 jövőkép jött létre, amelyekből a négy, növekedés utáni és nemnövekedési elméletek szempontjából legrelevánsabbat választották ki további elemzésre. Az alábbi 4 forgatókönyvet vették figyelembe:
- Autokratikus összeomlás: környezeti összeomlással kezdődik, ahol minden bolygóhatárt túllép a társadalom az elit érdekeinek hatására. A klímaválság mellett élelmiszerhiány és migrációs válság is sújtja az EU-t, miközben az új technológiák katonai célokat szolgálnak. Kiüresedik a demokrácia, autoriter rezsimek kerülnek hatalomra, így a megfigyelés és a propaganda mindennapossá válik. Munkaerő-kizsákmányolás jellemzi, MI-vel kiváltott állásokkal, rabszolgatartásra emlékeztető körülményekkel, a szociális háló és a közintézmények összeomlásával. Romlik a mentális egészség, alulfinanszírozott az oktatás és elveszik az emberi méltóság.
- Demokratikus gondoskodás a természetről: a polgárok aktívan részt vesznek az ökoszisztéma helyreállításában, a biodiverzitást jóléti mutatóként kezelik, miközben összefogással felszámolják a szennyezést és az ipari mezőgazdaságot, így támogatva a klímacélokat és a befogadó társadalmat. A túlfogyasztást a mérsékletesség, az újrahasználat és az etikus termelés váltja fel. Az oktatás elősegíti az ökológiai tudatosságot és a demokratikus részvételt, továbbá ingyenes, inklúzív és gyakorlati tudáson alapul. A technológia a közjót szolgálja, az AI és a digitális eszközök pedig növelik az átláthatóságot, a fenntarthatóságot és a nyilvánosság részvételét.
- Ökokrácia: autoriter zöld agendát mutat be, ahol a kormányzó elit ökológiai helyreállítást erőltet a demokrácia, társadalmi igazságosság és emberi jogok helyett, így a biodiverzitás virágzik, azonban a szabadságjogok elnyomása és a fogyasztás szabályozása jellemzi. Egy ökoarisztokrata réteg alakul ki, amely mellett a társadalmi jóléti kiadások visszaesnek. Az elit megfigyeléssel kényszeríti ki az ökológiai előírások betartását, figyelmen kívül hagyva a tágabb társadalmi igényeket. A kényszerített ökológiai munka, a fiskális megszorítások és a monopóliumok erősödése kettős társadalmat teremt, ahol az elit kiváltságokat élvez, a többség pedig kirekesztetté válik.
- Elitista zöld buborék: az üzleti gyakorlatok látszólag összhangban vannak a kollektív ökológiai és társadalmi célokkal, azonban ezeket az eredményeket a kevésbé privilegizált területeken folytatott kizsákmányoló gyakorlatok tartják fenn. A zöldre mosott kitermelés dominál, elfedve az intenzív természetkincs-kitermelést és az elit fogyasztási szokásait. A társadalmi egyenlőtlenség fokozódik, az információk csak egy szűk csoport számára válnak elérhetővé, az innovációk pedig csak a privilégiumokat erősítik a rendszerszintű változás helyett. Az éghajlatváltozás megzavarja az ellátási láncokat, Európa pedig katonai beavatkozással biztosítja az erőforrásokat. A politikai hatalom az elit kezében összpontosul, miközben a zöld gyarmatosítás normalizálódik. A technológiai innovációt elit intézmények alakítják, míg az oktatási rendszerek a technológia-vezérelt megoldásokat részesítik előnyben.
A kutatás utolsó részeként 52 külső szakértő véleményét kérték ki, hogy az ismereteiket szisztematikusan beépítsék a korábbi lépésekbe. A szakértelmük többek között arra szolgált, hogy a meglévő 4 forgatókönyv politikai megvalósíthatóságát és kívánatosságát értékeljék, valamint kiválasszák a szükséges politikai javaslatokat.
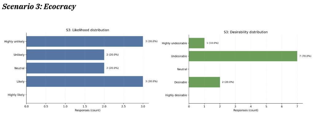
Az alábbi ábrákon az egyes szcenáriók valószínűsége és kívánatossága látszik:




Legvalószínűbb forgatókönyvnek az Autokratikus összeomlást látták a szakértők, míg legvalószínűtlenebbnek az Ökokráciát. Javasoltnak mindössze a Demokratikus gondoskodás a természetről elnevezésű jövőképet minősítették, miközben az 1. lehetőséget kifejezetten nemkívánatosnak tartották. A 2. lehetőség számos központi elemet tartalmaz a nemnövekedési és a növekedés utáni elméletekből, valamint fontos részét képezi a fenntartható átalakulás is.
Utolsó lépésként a szakértőket arra kérték, hogy válasszák ki minden forgatókönyvhöz a 30 intézkedés közül azt az ötöt, amelyek leginkább hozzájárulnának egy igazságosabb, fenntarthatóbb és demokratikusabb jövő eléréséhez.
1 Feltétel nélküli alapjövedelem
2 Általános alapszolgáltatások: ingyenes vagy megfizethető áron történő közszolgáltatás
3 Gondozási jövedelem: feltételes pénzbeli támogatás fizetetlen gondozási munkáért, beleértve az emberek, a közösségek és a természet gondozását
4 (Zöld) Munkahely-garancia: garantált hozzáférés a létfontosságú közmunkákhoz
5 Munkaidő-csökkentés
6 Alternatív mutatók: a GDP-t kiegészíteni társadalmi és ökológiai jólét mutatóival
7 Maximális jövedelemkorlát: szervezeteken vagy a társadalmon belüli bérkülönbségek korlátozása
8 Ökológiai adó: környezeti költségek internalizálása
9 Vagyonadó: nettó vagyonra kivetett, gyakran progresszív éves adó
10 Magas öröklési adó
11 A magas környezeti terhelésű luxuscikkek megadóztatása
12 Jóléti költségvetések: a kormányzati költségvetéseket a GDP helyett a jóléti mutatók irányítják
13 Zöld és társadalmilag fenntartható közbeszerzés
14 Hitel tanácsadás: központi bank által irányított magánbanki hitelezés termelő és fenntartható szektorok felé történő terelése
15 Ökoszisztéma-szolgáltatásokért fizetett díjak (PES): pénzügyi ösztönzők a földtulajdonosok számára az ökoszisztéma-szolgáltatások fenntartására vagy helyreállítására
16 A távolsági kereskedelem korlátozása
17 Nonprofit szövetkezetek: profit helyett társadalmi és ökológiai célok köré szerveződő vállalkozások
18 Lakásszövetkezetek és ökovárosok
19 Energiaközösségek
20 Élelmiszer-szuverenitás: élelmiszerrendszerek helyi ellenőrzése, a kis léptékű, agroökológiai gazdálkodás előtérbe helyezése
21 Lassú és helyi turizmus
22 Reklámozás korlátozása
23 Felelősségteljes kutatási és innovációs politika
24 Az őslakosok és a helyi lakosság tudásának visszaszerzése
25 Elégségelvű oktatás: az önkéntes egyszerűség és a fogyasztásellenes életmód ösztönzése
26 Részvételi polgári párbeszéd
27 Technológiai szuverenitás: technológiai fejlesztések demokratizálása és a káros innovációk jogszabályi korlátozása
28 Jogok biztosítása a természet számára: az ökoszisztémák peres felek lehetnek a bíróság előtt
29 Kötelező épületszigetelés
30 A jövő nemzedékeiről szóló törvény: a közintézményeket a hosszú távú jólét és fenntarthatóság figyelembevételére kötelező jogszabályok
Ezek közül a legfontosabb intézkedésnek a részvételi polgári párbeszédet választották, azonban népszerűek voltak még a felelősségteljes kutatási és innovációs politika, a vagyonadó, az ökológiai adó, az általános alapszolgáltatások és az őslakosok és a helyi lakosság tudásának visszaszerzése is.

Az egyetlen kívánatos forgatókönyv esetében az említett intézkedéseken felül, leginkább a magas környezeti terhelésű luxuscikkek megadóztatását és a nonprofit szövetkezetek létrehozását emelték ki, míg az olyan intézkedések, mint a maximális jövedelemkorlát, a hitel tanácsadás, a lassú és helyi turizmus, a technológiai szuverenitás vagy a kötelező épületszigetelés nem kaptak szavazatot a szakértőktől.
A Corvinus egyetem munkatársai által vezetett kutatás eredményei azt mutatják, hogy egy összeomlásnak valós esélye van, azonban célzott szakpolitikai intézkedésekkel és tudatos társadalmi összefogással a felvázolt pozitív forgatókönyv is elérhető lehet.
A cikk a következő tanulmány alapján íródott: Gáspár, J.; Köves, A.; Hirvilammi, T., Hideg, É.; Ding, J.; Márton, A.; Szathmári, A.; Kiss, G.; Csuport, Zs.; Fischer, M. (2025). Post-growth Futures Report. The MAPS Project, Corvinus University of Budapest, Budapest, Hungary. A teljes jelentés itt érhető el.
